این پادکست شامل بررسی کلی انواع میلگرد و کاربرد آنها در صنعت ساخت و ساز میباشد.
میلگرد
میلگرد یکی از عناصر کلیدی در ساخت سازههای بتنی مسلح است که وظیفه تقویت و افزایش مقاومت کششی بتن را بر عهده دارد. این مقطع فولادی بهطور کلی در دو نوع میلگرد ساده و میلگرد آجدار تولید و عرضه میشود.
میلگرد ساده سطحی صاف و صیقلی دارد و فاقد هرگونه آج یا شیار است. از این نوع میلگرد معمولاً در پروژههایی استفاده میشود که نیاز به جوشکاری، خمکاری و شکلدهی دقیق دارند؛ مانند ساخت قطعات صنعتی یا اتصالات فلزی سبک.
در مقابل، میلگرد آجدار دارای شیارها و الگوهای برجستهای بر روی سطح خود است که موجب افزایش چسبندگی با بتن شده و از لغزش میلگرد در داخل بتن جلوگیری میکند. به همین دلیل، میلگرد آجدار در سازههای سنگین و باربر مانند تیرها، ستونها و فونداسیونها، بیشترین کاربرد را دارد.
هر دو نوع میلگرد، چه ساده و چه آجدار، نقش حیاتی در افزایش استحکام، دوام و مقاومت سازههای بتنی دارند و انتخاب صحیح نوع آنها بسته به نوع پروژه و شرایط اجرایی انجام میشود.
در این میان، فولاد حامیران با تکیه بر چند دهه تجربه و سابقه درخشان در صنعت فولاد کشور، بهعنوان یکی از تأمینکنندگان معتبر انواع میلگرد ساختمانی و صنعتی شناخته میشود و همواره انتخابی مطمئن برای پیمانکاران و مهندسان پروژههای عمرانی است.
برخی از ویژگی هایی که حامیران را از سایر فروشندگان متمایز میکند عبارتند از:
- ارائه میلگردهای برندهای معتبر از جمله ذوبآهن اصفهان، نیشابور، میانه، باختر و بناب
- تضمین اصالت کالا همراه با برگه آنالیز و گواهی استاندارد
- قیمتهای شفاف و بهروز بدون واسطه
- ارسال سریع به تمام نقاط کشور
- پشتیبانی تخصصی توسط مشاوران فنی برای انتخاب دقیقترین گزینه با توجه به نیاز پروژه
مشخصات فنی میلگردها
دوام، استحکام و عملکرد میلگرد بهطور مستقیم به ویژگیهای فنی آن وابسته است. این ویژگیها بر اساس استانداردهای ملی و بینالمللی تعریف میشوند و شامل سه بخش اصلی هستند: ترکیب شیمیایی، خواص فیزیکی و خصوصیات مکانیکی میلگرد. هر یک از این عوامل، در تعیین نوع کاربرد و محل استفاده نهایی میلگرد نقش اساسی ایفا میکنند.

- مقاومت کششی و حد تسلیم میلگرد
از مهمترین شاخصهای مکانیکی میلگرد میتوان به مقاومت کششی (Tensile Strength) و حد تسلیم (Yield Strength) اشاره کرد. این دو ویژگی نشان میدهند که میلگرد تا چه میزان قادر است در برابر نیروهای کشش و فشار مقاومت کند. بهطور کلی، هر چه این مقادیر بیشتر باشند، میلگرد از نظر استحکام و قابلیت اطمینان، گزینهای مناسبتر برای پروژههای سنگین و سازههای مقاومسازی محسوب میشود.
- انعطافپذیری و شکلپذیری میلگرد
یکی دیگر از ویژگیهای کلیدی میلگرد، قابلیت انعطاف و شکلپذیری آن است. میلگردهایی که میتوانند بدون ایجاد ترک، شکست یا تغییرات ساختاری، دچار تغییر شکل شوند، عملکرد بهتری در شرایط دینامیکی و بارهای ناگهانی خواهند داشت. این خصوصیت بهویژه برای سازههایی که در مناطق زلزلهخیز احداث میشوند، اهمیت بالایی دارد؛ زیرا مانع از گسیختگی ناگهانی بتن در اثر حرکات زمین میگردد.
- ابعاد فیزیکی و نقش آن در طراحی
از دیگر فاکتورهای مهم در بررسی مشخصات فنی میلگرد، میتوان به ابعاد فیزیکی آن (قطر و طول) اشاره کرد. این مقادیر نهتنها در محاسبه وزن و میزان مصرف میلگرد در پروژههای عمرانی تأثیرگذارند، بلکه در طراحی سازه و برآورد هزینهها نیز نقش تعیینکنندهای دارند. انتخاب درست سایز و طول میلگرد، ضمن افزایش ایمنی و پایداری سازه، باعث میشود تا هزینههای اجرایی و هدررفت مصالح نیز کاهش یابد.
| جدول مشخصات فنی میلگرد | ||||
|---|---|---|---|---|
| قطر اسمی (میلیمتر) | سطح مقطع اسمی (میلیمتر مربع) | وزن واحد طول (kg/m) | درصد خطا میلگرد ساده | درصد خطا میلگرد آجدار |
| 6 | 28.3 | 0.222 | ±8 | ±8 |
| 8 | 50.3 | 0.395 | ±7 | ±6 |
| 10 | 78.5 | 0.616 | ±5 | ±6 |
| 12 | 113 | 0.888 | ±5 | ±5 |
| 14 | 154 | 1.21 | ±5 | ±5 |
| 16 | 201 | 1.58 | ±5 | ±5 |
| 18 | 254 | 2.00 | ±5 | ±5 |
| 20 | 314 | 2.47 | ±5 | ±5 |
| 22 | 380 | 2.98 | ±5 | ±5 |
| 25 | 491 | 3.85 | ±4 | ±4 |
| 28 | 616 | 4.83 | ±4 | ±4 |
| 32 | 804 | 6.31 | ±4 | ±4 |
| 36 | 1018 | 7.99 | ±4 | ±4 |
| 40 | 1257 | 9.87 | ±4 | ±4 |
| 50 | 1964 | 15.42 | ±4 | ±4 |
قیمت روزانه میلگرد
در این صفحه از وبسایت فولاد حامیران تلاش بر آن است ضمن اعلام قیمت میلگرد از کاربرد های آن ، چیستی آن و انواع آن صحبت کنیم . در ابتدا باید بگوییم که نرخ میلگرد در بازار ایران با توجه به نوسانات ارز و شرایط موجود ، در لحظه تغییر میکند، بنابراین شما عزیزان میتوانید برای دریافت لیست قیمت روزانه میلگرد، با متخصصان ما در بخش فروش تماس بگیرید.
قیمت روز میلگرد
فولاد حامیران با ارائهی یکی از کاملترین سبدهای محصولات میلگرد در کشور، انواع میلگرد آجدار و میلگرد ساده را در سایزها و برندهای معتبر عرضه میکند.
در این مجموعه، میلگرد برندهایی چون ذوبآهن اصفهان، نیشابور، میانه، بناب، ظفر بناب، کویر کاشان، فایکو، جهان فولاد سیرجان، آذر فولاد امین، ابهر، شاهرود، صبا فولاد زاگرس، راد همدان و حدید سیرجان در سایزهای ۵.۵ تا ۵۰ میلیمتر موجود است. میلگردها معمولاً از فولاد کمکربن تولید میشوند و در دو نوع اصلی به بازار عرضه میگردند:
میلگرد ساده: با سطح صاف، مناسب خمکاری و جوشکاری در پروژههای سبک و صنعتی
میلگرد آجدار: با آجهای برجسته برای چسبندگی بیشتر به بتن، مقاوم در برابر ترک و فشار، مناسب ستون، تیر و فونداسیون
میلگرد آجدار به دلیل استحکام کششی بالا و عملکرد طولانیمدت در بتن، در اکثر پروژههای ساختمانی کاربرد دارد. در فولاد حامیران میتوانید انواع میلگرد استاندارد را در سایزها و گریدهای مختلف با کیفیت تضمینشده و قیمت رقابتی تهیه کنید.

فروش میلگرد
قیمت میلگرد یکی از مهمترین شاخصها در بازار آهنآلات است که تأثیر مستقیمی بر هزینه نهایی پروژههای عمرانی و ساختمانی دارد. نرخ میلگرد بهصورت روزانه تغییر میکند و تحتتأثیر مجموعهای از عوامل اقتصادی، صنعتی و فنی قرار دارد.
از مهمترین فاکتورهای مؤثر بر قیمت میتوان به موارد زیر اشاره کرد:
- نوسانات بازار جهانی فولاد و نرخ ارز
- قیمت مواد اولیه مانند سنگآهن و قراضه فلزی
- هزینههای انرژی و تولید
- میزان عرضه و تقاضای داخلی
- نوع میلگرد، سایز، وزن، گرید (A1 تا A4) و برند تولیدکننده
این عوامل باعث میشوند قیمت میلگرد در برندها و شهرهای مختلف متفاوت باشد. بهطور معمول، با افزایش سایز و وزن هر شاخه میلگرد، قیمت نهایی آن نیز بیشتر میشود.
برای به دست آوردن قیمت نهایی، وزن هر شاخه میلگرد را بر اساس جداول اشتال یا فرمول محاسبه می کنند .به طور کلی، با افزایش سایز و وزن میلگرد، قیمت نهایی هر شاخه نیز بیشتر می شود. برای اطلاع از قیمت سایر مقاطع آهنی به صفحه قیمت آهن آلات ساختمانی مراجعه فرمایید.
انواع میلگرد
تولید و استفاده از میلگرد در هر کشور بر اساس استانداردهای ملی و بینالمللی انجام میشود تا ایمنی، دوام و عملکرد سازهها تضمین گردد. این استانداردها شامل معیارهایی مانند ترکیب شیمیایی، مقاومت کششی، شکلپذیری و خواص مکانیکی هستند. در ایران، میلگردها مطابق با استاندارد ملی ISIRI 3132 و گاهی بر اساس استانداردهای بینالمللی مانند ASTM (آمریکا) و DIN (آلمان) تولید میشوند.
- میلگرد A1
میلگرد های A1 را می توان از جمله ساده ترین نوع میلگرد های موجود در بازار دانست. بر سطح این نوع میلگرد اثری از فرورفتگی و یا برآمدگی وجود ندارد. میلگردهای A1 در گروه میلگردهای نرم قرار می گیرند. از این میلگردها برای مواردی مانند جوشکاری و یا اعمالی مانند آهنگری استفاده می شود.
- میلگرد A2
میلگردهای A2 را می توان در دسته میلگردهای آجدار قرار داد و از لحاظ میزان سختی به آنها رتبه ای متوسط می دهند. در واقع می توان آنها را آرماتورهای نیمه سخت نامید. جوشکاری بر روی آرماتور A2 امکان پذیر است و با الکترود 6013 میتوان عمل جوش را انجام داد. این نوع از میلگرد دارای آج های ساده می باشد و در مواردی مانند خاموت زنی مورد استفاده قرار می گیرند.
- میلگرد A3
میلگردهای A3 نسبت به نوع A2 دارای آج های پیچیده تری می باشد. این نوع از میلگرد را به نام میلگرد خشک نیز می شناسند. میلگرد A3 به هیچ عنوان برای عملیات جوشکاری مناسب نیست. میزان سختی این نوع میلگرد در رده نیمه سخت قرار می گیرد.
- میلگرد A4
میلگردهای A4 آج های پیچیده و بسیار سختی را دارا می باشد. میلگرد A4 دارای سختی بالایی است. یکی از دلایلی که از این نوع میلگرد برای ساخت و ساز استفاده می شود. میلگرد A4 استحکام کششی و استحکام تسلیم بیشتر و در مقابل انعطاف پذیری و خمش کمتری نسبت به میلگرد A3 دارد.
| انواع میلگرد | |||
|---|---|---|---|
| نوع میلگرد | علامت مشخصه | استاندارد (روسیه) | استحکام کششی (MPa) |
| میلگرد ساده | س 240 | A1 | 360 |
| میلگرد آجدار مارپیچ (یکنواخت یا دوکی) | آج 340 | A2 | 500 |
| آج 350 | - | - | |
| میلگرد آجدار جناغی (یکنواخت یا دوکی) | آج 400 | A3 | 600 |
| آج 420 | - | - | |
| میلگرد آجدار مرکب (دوکی) | آج 500 | A4 | 650 |
| آج 520 | - | 690 | |
خرید میلگرد
خرید میلگرد یکی از مهم ترین و تأثیرگذارترین مراحل در فرایند ساخت و ساز است؛ زیرا انتخاب صحیح نوع، سایز، جنس و برند میلگرد، مستقیماً بر کیفیت، استحکام و طول عمر سازه های بتنی تأثیر میگذارد. با توجه به اینکه میلگرد نقش حیاتی در تقویت بتن و افزایش مقاومت کششی آن دارد، کوچک ترین اشتباه در انتخاب میلگرد یا خرید میلگرد میتواند منجر به خسارات فنی و اقتصادی قابل توجهی شود. به همین دلیل، آگاهی از مشخصات فنی، استاندارد های معتبر، قیمت روز بازار و تفاوت برند های تولید کننده، برای مهندسان، پیمانکاران و حتی خریداران خرد کاملاً ضروری است.
قیمت هر شاخه میلگرد
یکی از موضوعات مهم برای خریداران میلگرد، قیمت هر شاخه از این مقطع فولادی است. فاکتورهای مختلفی مانند وزن میلگرد، نوع و گرید آلیاژی، برند تولیدکننده و همچنین تغییرات روزانه بازار آهنآلات میتوانند باعث افزایش یا کاهش نرخ هر شاخه میلگرد شوند.

روش های تولید میلگرد
میلگردها به روشهای متنوعی تولید میشوند که هر روش با توجه به فرآیند ساخت، نوع مواد اولیه و تکنولوژی بهکاررفته، خواص مکانیکی متفاوتی به محصول نهایی میدهد. سه فرآیند اصلی در تولید میلگرد عبارتند از: نورد گرم، نورد سرد و روش ترمکس .
- تولید میلگرد به روش نورد گرم
در روش نورد گرم، ابتدا آهن قراضه و ترکیبات آلیاژی در کورههایی با دمای بالا ذوب میشوند. سپس فلز مذاب وارد مرحله ریختهگری و شکلدهی میشود تا در نهایت، میلگرد تولید گردد. این روش، به دلیل هزینه تولید پایینتر و قابلیت تولید انبوه، یکی از متداولترین شیوهها در صنعت فولادسازی کشور است. میلگردهای حاصل از نورد گرم دارای انعطافپذیری بالا و مقاومت کششی قابلقبول هستند و در پروژههای ساختمانی و سازههای عمرانی بسیار مورد استفاده قرار میگیرند.
- تولید میلگرد به روش نورد سرد
در فرآیند نورد سرد، شمش فولادی (بیلت) بدون اینکه به نقطه ذوب برسد، به کمک اعمال فشار و تغییر شکل مکانیکی، به میلگرد تبدیل میشود. این روش باعث تولید میلگردهایی با ابعاد دقیقتر، سطح صافتر و ظاهر یکنواختتر میشود. با این حال، محصول نهایی ممکن است مقداری شکنندهتر نسبت به میلگردهای نورد گرم باشد و نیاز به بررسی دقیق در انتخاب پروژههای خاص دارد.
- تولید میلگرد با فرآیند ترمکس
ترمکس یا خنککاری حرارتی، یکی از تکنولوژیهای پیشرفته در ساخت میلگرد محسوب میشود. در این روش، بیلت ابتدا تا دمای بالا حرارت میبیند و پس از شکلدهی، بهسرعت و بهصورت کنترلشده سرد میشود. این عملیات حرارتی باعث میشود سطح بیرونی میلگرد سخت و مقاوم شود، در حالی که بخش داخلی ساختاری نرمتر و انعطافپذیر خواهد داشت. نتیجه این فرآیند، تولید میلگردهایی با ترکیب عالی از سختی، چقرمگی و مقاومت بالا است که آنها را برای پروژههای حساس مانند سازههای ضدزلزله بسیار مناسب میسازد.
تست کیفیت میلگرد
- آزمایش کشش میلگرد
مقاومت کششی میلگرد یکی از ویژگیهای کلیدی آن محسوب میشود، اما آزمون کشش، فرایندی ساده و کمچالش است. در این آزمون، بدون نیاز به تغییر در ساختار هندسی ماده، از طول میلگرد جهت سنجش استحکام و میزان کشیدگی آن استفاده میشود. این تست باید مطابق با استاندارد ملی ایران به شماره ۱-۸۱۰۳ انجام گیرد.
برای اجرای این آزمون، نشانههایی در فواصل یکسان بر روی بخش آزاد نمونه آزمون درج میشوند. این نشانهگذاری به منظور ارزیابی درصد افزایش طول میلگرد در بالاترین نیروی اعمالی صورت میگیرد. انتخاب فاصله میان نشانهها به قطر میلگرد بستگی داشته و معمولاً در اندازههای ۵، ۱۰ یا ۲۰ میلیمتر تعیین میشود. همچنین، سطح مقطع اسمی میلگرد باید در محاسبات برای تعیین ویژگیهای مکانیکی مورد توجه قرار گیرد.
- آزمون خمش
آزمون خمش، که به آن تست بازخمش نیز گفته میشود، برای ارزیابی میزان استهلاک میلگردهای خمشده اجرا میگردد. این آزمون روی نمونههایی مشابه آزمون خمش سرد صورت میپذیرد. طی این فرایند، نمونهها ابتدا در دمای محیط به میزان ۹۰ درجه خم شده و سپس به مدت حداقل ۳۰ دقیقه تا دمای ۱۰۰ درجه سلسیوس گرم میشوند. پس از بازگشت دمای نمونه به محیط، با اعمال نیروی پیوسته و یکنواخت، میزان ۲۰ درجه از خمیدگی اولیه بازگردانده میشود.
بر اساس استاندارد ملی ایران شماره ۱-۸۱۰۳، این آزمون باید مطابق با مشخصات فنی تعیینشده انجام شود. میلگرد مورد بررسی، حول یک فک خمش با قطر مشخص (مطابق جدول استاندارد) خم میشود. زاویه خمش اولیه (پیش از پیرسازی) حداقل ۹۰ درجه و زاویه خمش مجدد، در جهت مخالف، باید حداقل ۲۰ درجه باشد. این زوایا قبل از برداشتن بار باید با دقت اندازهگیری شوند.
میلگرد زمانی در این آزمونها تأیید میشود که پس از خمیدگی، هیچگونه ترک، شکست یا عیب قابل مشاهدهای (مطابق استانداردهای مربوطه) در آن ایجاد نگردد. در صورت توافق بین خریدار و تولیدکننده، آزمون خمش مجدد میتواند جایگزین آزمون خمش شود.
اجرای یکی از آزمونهای خمش یا خمش مجدد برای تولیدکننده الزامی است، اما تضمین کیفیت هر دو آزمون بر عهده او خواهد بود. مطابق با مبحث نهم استاندارد ملی ایران، تمامی میلگردها باید مطابق مشخصات و ابعاد تعیینشده در جدول استاندارد، تحت آزمایشهای خمش و خمش مجدد قرار گیرند.
شرکت فولاد حامیران در آزمایشگاه متالورژی خدمات آزمایشگاهی آزمون کشش و آزمون خمش و بازخمش را بر روی میلگردها جهت تست کیفیت محصولات خود ارائه می دهد.
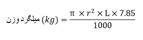
وزن میلگرد
وزن میلگرد به عوامل مختلفی از جمله قطر، طول و نوع میلگرد بستگی دارد. فرمول محاسبه وزن تقریبی یک متر میلگرد در طول مشخص، به شرح زیر است:
وزن میلگرد= [شعاع میلگرد (mm) * شعاع میلگرد (mm) * طول میلگرد (m) * 3.14 * 7.85]/1000
| قطر میلگرد (mm) | وزن شاخه 12 متری (kg) |
|---|---|
| 8 | 4.7 |
| 10 | 7.4 |
| 12 | 10.6 |
| 14 | 14.5 |
| 16 | 18.9 |
| 18 | 24 |
| 20 | 29.59 |
| 22 | 35.81 |
| 28 | 58 |
| 32 | 75.76 |
| 36 | 95.88 |










